Skip to content Skip to sidebar Skip to footer

Widget HTML #1

Distributive Property Of Multiplication, Distributive Property Of Multiplication 3rd Grade Lesson Plan Property Walls - More lessons for grade 6 math math worksheets.

Distributive Property Of Multiplication, Distributive Property Of Multiplication 3rd Grade Lesson Plan Property Walls - More lessons for grade 6 math math worksheets.. If we want to multiply 4 by 5, this means that we want to use 4 in addtion five times. It lets us rewrite expressions where we are multiplying numbers by a difference or sum. An arithmetic property that distributes the multiplication across the addition is called the distributive property of multiplication over addition. The distribution property of multiplication is also true for subtraction, where you can either first subtract the numbers and. This is the currently selected item.

To simplify this multiplication, another method will be needed. This distributive property of multiplication may be used when we're multiplying a number by a sum. The distributive property lets you multiply a sum by multiplying each addend separately and then add the products. The resulting sum of the distributive property should be. The distributive property states that we can solve this problem a different way since we have a single term being multiplied by a group of two or more terms added together.

Multiplication Using The Distributive Property Youtube
Multiplication Using The Distributive Property Youtube from i.ytimg.com
The rules allow one to reformulate conjunctions and disjunctions within logical proofs. There are three different level worksheets that go with it and can… The distributive property of addition and multiplication states that the distributive property is usually first approached by students when they start advanced multiplication problems, meaning when adding or multiplying, you have to carry a one. The distributive property is the ability of one operation to distribute over another operation contained inside a set of parenthesis. Popularity most recent title relevance. Color(purple)(atimes(b+c)=atimes b+atimes c) intuitively, we understand, that it is correct. This is where the distributive property comes in. Addition is distributive over multiplication in some cases and not distributive in other cases.

Popularity most recent title relevance.

For many years i dreaded having to teach my 3rd graders the distributive property of multiplication. More lessons for grade 6 math math worksheets. The distributive property of addition and multiplication states that the distributive property is usually first approached by students when they start advanced multiplication problems, meaning when adding or multiplying, you have to carry a one. In general, it refers to the distributive property of multiplication over addition or subtraction. In general, this term refers to the distributive property of multiplication which states that the. The distribution property of multiplication is also true for subtraction, where you can either first subtract the numbers and. The distributive property of multiplication states that $a(b+c) = ab + ac$. You can use the distributive property to solve tough multiplication problems where one of the factors is huge, even in your head! The distributive property is an algebra property which is used to multiply a single term and two or more terms inside a set of parentheses. In propositional logic, distribution refers to two valid rules of replacement. Students explicitly rewrite and answer multiplication equations using the distributive property. The distributive property will allow multiplying a sum value by multiplying each addend separately. Color(purple)(atimes(b+c)=atimes b+atimes c) intuitively, we understand, that it is correct.

In math, we almost always deal in practice with algebraic structures like. Within an expression containing two or more occurrences of only addition or of only multiplication, the order in which the. But tetration has no distributive property with respect to the earlier operations in the list. The distributive property is one of the most frequently used properties in math. The distributive property applies to the multiplication of a number with the sum or difference of two numbers i.e., the distributive property holds true for multiplication over addition and subtraction.

Distributive Property Of Multiplication Anchor Chart Multiplication Math Anchor Charts Math
Distributive Property Of Multiplication Anchor Chart Multiplication Math Anchor Charts Math from i.pinimg.com
If we want to multiply 4 by 5, this means that we want to use 4 in addtion five times. This distributive property of multiplication may be used when we're multiplying a number by a sum. = multiplication has a property of distribution of the factor of 3, in our example over addition (the members of the group). Having said that, multiplication is both fun and challenging. This video covers the distributive property of multiplication. It contains plenty of examples and. The way multiplication is applied across summed terms. Within an expression containing two or more occurrences of only addition or of only multiplication, the order in which the.

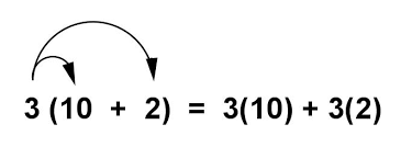
The distributive property states that multiplying a sum by a number is the same as multiplying each addend by that number and then adding the two products.

The distributive property is the same as the distributive property of multiplication, and it can be used over addition or subtraction. You can use the distributive property to solve tough multiplication problems where one of the factors is huge, even in your head! Addition is distributive over multiplication in some cases and not distributive in other cases. This video covers the distributive property of multiplication. What is the distributive property ? The distributive property lets you multiply a sum by multiplying each addend separately and then add the products. To simplify this multiplication, another method will be needed. Also known as the distributive law of multiplication , it's one of the most commonly used properties in in math, the distributive property helps simplify difficult problems because it breaks down expressions into the sum or difference of two numbers. If we want to multiply 4 by 5, this means that we want to use 4 in addtion five times. It was created by mathcrush.com. The way multiplication is applied across summed terms. This is where the distributive property comes in. = multiplication has a property of distribution of the factor of 3, in our example over addition (the members of the group).

Distribute the fertilizer evenly over the lawn. The distributive property is one of the most frequently used properties in basic mathematics. Then one day i had an idea that changed all of that and teaching the distributive property has actually become one of my favorite math lessons of the year! The distributive property of multiplication states that when a number is multiplied by the sum of two numbers, the first number can in both cases we get the same result, 16, and therefore we can show that the distributive property of multiplication is correct. Color(purple)(atimes(b+c)=atimes b+atimes c) intuitively, we understand, that it is correct.

Multiplying Polynomials Distributive Property Youtube
Multiplying Polynomials Distributive Property Youtube from i.ytimg.com
The distributive property in multiplication is a useful property. The distributive property applies to the multiplication of a number with the sum or difference of two numbers i.e., the distributive property holds true for multiplication over addition and subtraction. How to use a texture to affect particle density. Distribute the fertilizer evenly over the lawn. = multiplication has a property of distribution of the factor of 3, in our example over addition (the members of the group). The distributive property is one of the most frequently used properties in basic mathematics. Students explicitly rewrite and answer multiplication equations using the distributive property. This is the currently selected item.

For many years i dreaded having to teach my 3rd graders the distributive property of multiplication.

The distributive property applies to the multiplication of a number with the sum or difference of two numbers i.e., the distributive property holds true for multiplication over addition and subtraction. It lets us rewrite expressions where we are multiplying numbers by a difference or sum. The distributive property of multiplication states that $a(b+c) = ab + ac$. More lessons for grade 6 math math worksheets. What is the distributive property ? There are three different level worksheets that go with it and can… The distributive property will allow multiplying a sum value by multiplying each addend separately. But tetration has no distributive property with respect to the earlier operations in the list. This is where the distributive property comes in. Popularity most recent title relevance. Dpkg was interrupted, you must manually run 'sudo. In basic operations, the distributive property applies to multiplication of the multiplicand to all terms inside parentheses. Using the distributive property, you can simplify or solve equations that would otherwise.